eitanfr commented on pull request #1562: URL: https://github.com/apache/fineract/pull/1562#issuecomment-817269245
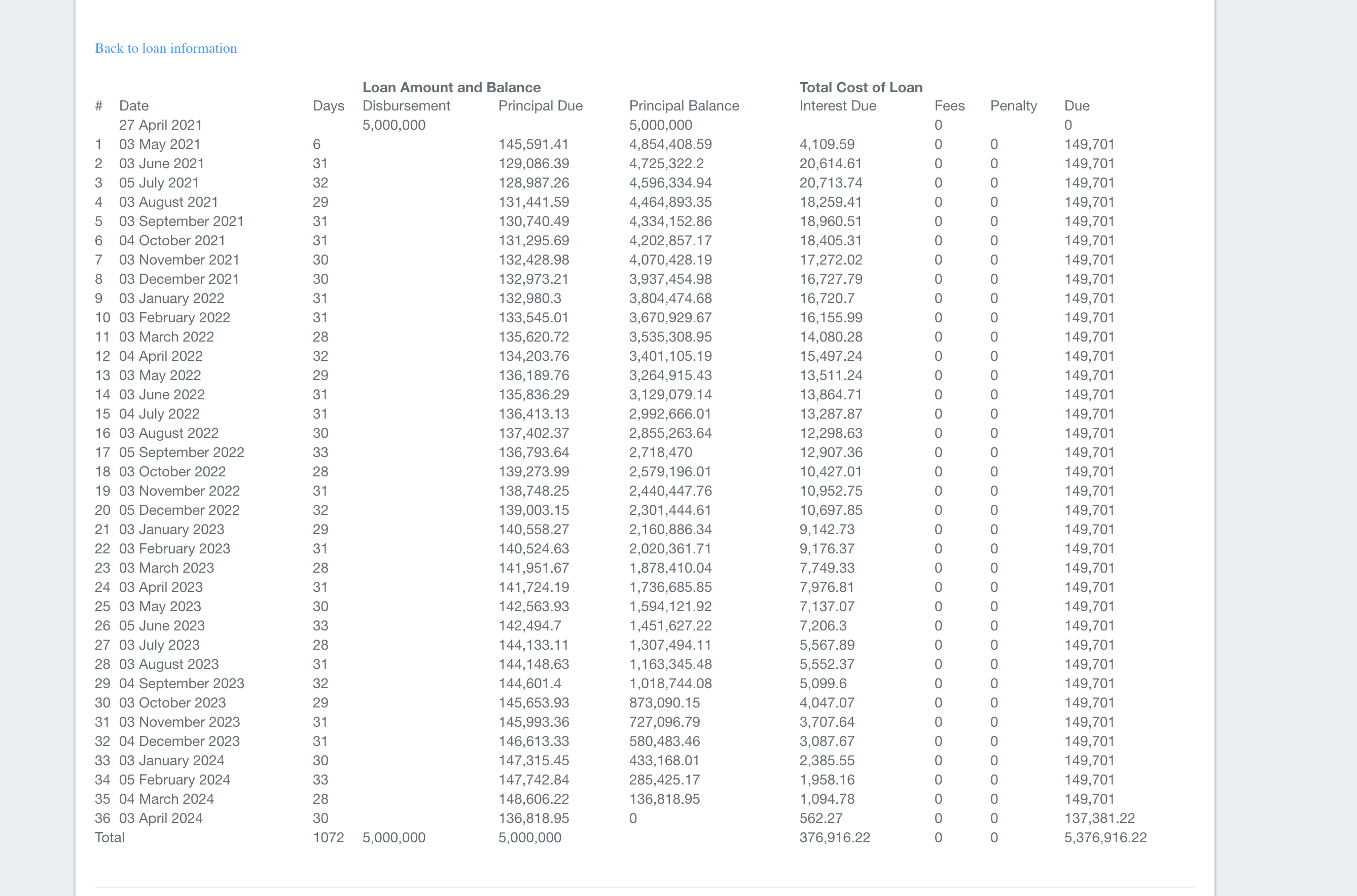
@bharathcgowda @edcable Hi, as you guys requested :) **First Scenario:** when "interest calculation period" is set to "daily" then interest has to calculate from the Disbursement date. Expected:  Works as Expected:  **Second Scenario:** when "interest calculation period" is set to "same as repayment" and "Calculate interest for exact days in partial period" checkbox is selected then interest has to calculate from the Disbursement date Expected:  Works as Expected:  **Third Scenario** when "interest calculation period" is set to "same as repayment" and "Calculate interest for exact days in partial period" checkbox is not selected then interest has to calculate for that month. Expected:  Works as Expected:  -- This is an automated message from the Apache Git Service. To respond to the message, please log on to GitHub and use the URL above to go to the specific comment. For queries about this service, please contact Infrastructure at: [email protected]
