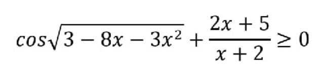
Your presumed answer is false : `3-8*x-3*x^2` s positive only for : ``` sage: solve(3-8*x-3*x^2>=0,x) [[x >= -3, x <= (1/3)]] ```
Outside this segment, the radicand is negative, the radical is complex non-real, and so is its cosine. HTH, Le mercredi 20 avril 2022 à 23:07:07 UTC+2, [email protected] a écrit : > print(solveset(cos(sqrt(3-8*x-3*x**2)) + (2*x+5)/(x+2), '>=')) > > The Inequation: > > https://user-images.githubusercontent.com/66517969/164003884-512d68e6-63b6-49c2-bd3d-bdafa8e54806.png > The correct answer is: > > https://user-images.githubusercontent.com/66517969/164003928-ee409221-36e2-46b7-b813-1fcbcdd82372.png > -- You received this message because you are subscribed to the Google Groups "sympy" group. To unsubscribe from this group and stop receiving emails from it, send an email to [email protected]. To view this discussion on the web visit https://groups.google.com/d/msgid/sympy/93f20f88-ba41-460a-b756-b0f4b05e85bdn%40googlegroups.com.
